banner banner

新闻资讯News and information

火灾自动报警系统安装工艺及流程
Tue Sep 24 11:33:18 CST 2019
作者:合景消防
浏览:4333
       不管是民用建筑还是商业建筑或是工业建筑,是要建筑内有人或有贵重物品及设备,都要设置安装火灾自动报警系统;建筑内若是没有设置安装火灾自动报警系统,通常情况下是火灾发生了也没人知道,等发现火情时,已经错失最佳灭火时间了,只能呼叫消防部队过来扑灭了。由此可见建筑内是很有必要设置安装火灾自动报警系统的,针对这一需求,合景消防给大家讲解火灾自动报警系统安装工艺和火灾自动报警系统安装流程,

火灾自动报警系统

       火灾自动报警系统安装流程如下

       钢管和金属线槽安装 → 钢管内导线敷设线槽配线 → 火灾自动报警设备安装(手动和自动) → 调试 → 检测验收交付使用

       火灾自动报警系统安装工艺如下

       1 - 钢管和金属线槽安装主要要求

       1.1  进场管材、型钢、金属线槽及其附件应有材质证明或合格证,并应检查质量、数量、规格型号是否与要求相符合,填写检查记录。钢管要求壁厚均匀,焊缝均匀,无劈裂和砂眼棱刺,无凹扁现象,镀锌层内外均匀完整无损。金属线槽及其附件,应采用经过镀锌处理的定型产品。线槽内外应光滑平整,无棱刺不应有扭曲翅边等变形现象。

       1.2  配管前应根据设计、厂家提供的各种探测器、手动报警器、广播喇叭等设备的型号、规格,选定接线盒,使盒子与所安装的设备配套。

       1.3  电线保护管遇到下列情况之一时,应在便于穿线的位置增设接线盒:

       管路长度超过30米,无弯曲时;

       管路长度超过20米,有一个弯曲时;

       管路长度超过15米,有二个弯曲时;

       管路长度超过8米,有三个弯曲时。

       1.4  电线保护管的弯曲处不应有折皱、凹陷裂缝,且弯扁程度不应大于管外径的10%。

       1.5  明配管时弯曲半径不宜小于管外径的6倍,暗配管时弯曲半径不应小于管外径的6倍,当埋于地下或混凝土内时,其弯曲半径不应小于管外径的10倍。

       1.6  当管路暗配时,电线保护管宜沿最近的线路敷设并应减少弯曲。埋入非燃烧体的建筑物、构筑物内的电线保护管与建筑物、构筑物墙面的距离不应小于30毫米。金属线槽和钢管明配时,应按设计要求采取防火保护措施。

       1.7  电线保护管不宜穿过设备或建筑、构筑物的基础,当必须穿过时应采取保护措施,如采用保护管等。

       1.8  水平或垂直敷设的明配电线保护管安装允许偏差1.5‰,全长偏差不应大于管内径的1/2。

       1.9  敷设在多尘或潮湿场所的电线保护管,管口及其各连接处均应密封处理。

       1.10  管路敷设经过建筑物的变形缝(包括沉降缝、伸缩缝、抗震缝等)时应采取补偿措施。

       1.11  明配钢管应排列整齐,固定点间距应均匀,管卡与终端、弯头中点、电气器具或盒(箱)边缘的距离宜为0.15~0.5米。

       1.12  吊顶内敷设的管路宜采用单独的卡具吊装或支撑物固定,经装修单位允许,直径20毫米及以下钢管可固定在吊杆或主龙骨上。

       1.13  暗配管在没有吊顶的情况下,探测器的盒的位置就是安装探头的位置,不能调整,所以要求确定盒的位置应按探测器安装要求定位。

       1.14  明配管使用的接线盒和安装消防设备盒应采用明装式盒。

       1.15  钢管安装敷设进入箱、盒,内外均应有根母锁紧固定,内侧安装护口。钢管进箱盒的长度以带满护口贴进根母为准。

       1.16  箱、线槽和管使用的支持件宜使用预埋螺栓、膨胀螺栓、胀管螺钉、预埋铁件、焊接等方法固定,严禁使用木塞等。使用胀管螺钉、膨胀螺栓固定时,钻孔规格应与胀管相配套。

       1.17  各种金属构件、接线盒、箱安装孔不能使用电、气焊割孔。

       1.18  钢管螺纹连接时管端螺纹长度不应小于管接头长度的1/2,连接后螺纹宜外露 2~3扣,螺纹表面应光滑无缺损。

       1.19  镀锌钢管应采用螺纹连接或套管紧固螺钉连接,不应采用熔焊连接,以免破坏镀锌层。

       1.20  配管及线槽安装时应考虑不同系统、不同电压、不同电流类别的线路,不应穿于同一根管内或线槽同槽孔洞。

       1.21  配管和线槽安装时应考虑横向敷设的报警系统的传输线路如采用穿管布线时,不同防火分区的线路不应穿入同一根管内,但探测器报警线路若采用总线制时不受此限制。

       1.22  弱电线路的电缆竖井应与强电线路的竖井分别设置,如果条件限制合用同一竖井时,应分别布置在竖井的两侧。

       1.23  在建筑物的顶棚内必须采用金属管、金属线槽布线。

       1.24  钢管敷设与热水管、蒸汽管同侧敷设时应敷设在热水管、蒸汽管的下面。有困难时可敷设在其上面,相互间净距离不应小于下列数值:

       ①  当管路敷设在热水管下面时为0.20米,上面时为0.3米,当管路敷设在蒸汽管下面时为0.5米,上面时为1米。

       ②  当不能满足上述要求时应采用隔热措施。对有保温措施的蒸汽管上、下净距可减至0.2米。

       1.25  钢管与其它管道如水管平行净距不应小于0.10米。当与水管同侧敷设时宜敷设在水管上面(不包括可燃气体及易燃液体管道)。当管路交叉时距离不宜小于相应上述情况的平行净距。

       1.26  线槽应敷设在干燥和不易受机械损伤的场所。

       1.27  线槽敷设宜采用单独卡具吊装或支撑物固定,吊杆的直径不应小于6毫米,固定支架间距一般不应大于1~1.5米,在进出接线盒、箱、柜、转角、转弯和弯形缝两端及丁字接头的三端0.5米以内,应设置固定支撑点。

       1.28  线槽接口应平直、严密,槽盖应齐全、平整、无翘角。

       1.29  固定或连接线槽的螺钉或其它紧固件紧固后其端都应与线槽内表面光滑相接,即螺母放在线槽壁的外侧,紧固时配齐平垫和弹簧垫。

       1.30  线槽的出线口和转角、转弯处应位置正确、光滑、无毛刺。

       1.31  线槽敷设应平直整齐,水平和垂直允许偏差为其长度的2‰,且全长允许偏差为20毫米,并列安装时槽盖应便于开启。

       1.32  金属线槽的连接处不应在穿过楼板或墙壁等处进行。

       1.33  金属管或金属线槽与消防设备采用金属软管和可挠性金属管作跨接时,其长度不宜大于2米,且应采用卡具固定,其固定点间距不应大于0.5米,且端头用锁母或卡箍固定,并按规定接地。

       1.34  暗装消火栓配管时,接线盒不应放在消火栓箱的后侧,而应侧面进线。

       1.35  消防设备与管线的工作接地、保护地应按设计和有关规范、文件要求施工。

       2 - 钢管内绝缘导线敷设和线槽配线要求

       2.1  进场的绝缘导线和控制电缆的规格型号、数量、合格证等应符合设计要求,并及时填写进场材料检查记录。

       2.2  火灾自动报警系统传输线路,应采用铜芯绝缘线或铜芯电缆,其电压等级不应低于交流250V,最好选用500V,以提高绝缘和抗干扰能力。

       2.3  为满足导线和电缆的机械强度要求,穿管敷设的绝缘导线,线芯截面最小不应小于1平方毫米;线槽内敷设的绝缘导线最小截面不应小于0.75平方毫米 ;多芯电缆线芯最小截面不应小于0.5平方毫米 

       2.4  穿管绝缘导线或电缆的总面积不应超过管内截面积的40%,敷设于封闭式线槽内的绝缘导线或电缆的总面积不应大于线槽的净截面积的50%。

       2.5  导线在管内或线槽内,不应有接头或扭结。导线的接头应在接线盒内焊接或压接。

       2.6  不同系统、不同电压、不同电流类别的线路不应穿在同一根管内或线糟的同一槽孔内。

       2.7  横向敷设的报警系统传输线路如果采用穿管布线时,不同防火分区的线路不宜穿入同一根管内。采用总线制不受此限制。

       2.8  火灾报警器的传输线路应选择不同颜色的绝缘导线,探测器的“+”线为红色,“-”线应为蓝色,其余线应根据不同用途采用其它颜色区分。但同一工程中相同用途的导线颜色应一致,接线端子应有标号。

       2.9  导线或电缆在接线盒、伸缩缝、消防设备等处应留有足够的余量。

       2.10  在管内或线槽内穿线应在建筑物抹灰及地面工程结束后进行。在穿线前应将管内或线槽内的积水及杂物清除干净,管口带上护口。

       2.11  敷设于垂直管路中的导线,截面积为50平方毫米以下时,长度每超过30米应在接线盒处进行固定。

       2.12  目前我国的消防事业发展很快,使用总线制线路控制的很多,对线路敷设长度,线路电阻均有要求,施工时应严格按厂家技术资料要求来敷设线路和接线。

       2.13  导线连接的接头不应增加电阻值,受力导线不应降低原机械强度,亦不能降低原绝缘强度,为满足上述要求,导线连接时应采取下述方法:

       ①  塑料导线4平方毫米以下时一般应使用剥削钳剥削掉导线绝缘层,如有编织的导线应用电工刀剥去外层编织层,并留有约12毫米的绝缘台,线芯长度随接线方法和要求的机械强度而定。

       ②  导线绝缘台并齐合拢,在距绝缘台约12毫米处用其中一根线芯在另一根线芯缠绕5~7圈后剪断,把余头并齐折回压在缠绕线上,并进行涮锡处理。

       ③  LC安全型压线帽:是铜线压线帽,分为黄、白、红三色,分别适用于1平方毫米、  1.5平方毫米、2.5平方毫米、4平方毫米的2~4根导线的连接。其操作方法是:将导线绝缘层剥去10~ 13毫米(按帽的型号决定),清除氧化物,按规定选用适当的压线帽,将线芯插入压线帽的压接管内,若填不实,可将线芯折回头(剥长加倍),填满为止。线芯插到底后,导线绝缘层应与压接管的管口平齐,并包在帽壳内,然后用专用压接钳压实即可。

       ④  多股铜芯软线用螺丝压接时,应将软线芯扭紧做成眼圈状,或采用小铜鼻子压接,涮锡涂净后将其压平再用螺丝加垫紧牢固。

       ⑤  铜单股导线与针孔式接线桩连接(压接),要把连接的导线的线芯插入接线桩头针孔内,导线裸露出针孔l~2毫米,针孔大于线芯直径1倍时,需要折回头插入压接。如果是多股软铜丝,应扭紧涮锡,擦干净再压接。如图6-4。

       ⑥  导线连接的包扎:
                                                 
       选用橡胶(或塑料)绝缘带从导线接头始端的完好绝缘层开始,缠绕l~2个绝缘带幅宽度,再以半幅度重叠进行缠绕。在包扎过程中应尽可能的收紧绝缘带。最后在绝缘层上缠绕l~2圈后,再进行回缠。然后再用黑胶布包扎,包扎时要衔接好,以半幅宽度过压边进行缠绕,同时在包扎过程中收紧胶布,导线接头处两端用黑胶布封严密。

       2.14  导线敷设连接完成后,应进行检查,无误后采用500V、量程为0~500MΩ的兆欧表,对导线之间、线对地、线对屏蔽层等进行摇测,其绝缘电阻值不应低20MΩ。注意不能带着消防设备进行摇测。摇动速度应保持在120r/米分钟左右,读数时应采用1分钟后的读数为宜。

       3 - 火灾自动报警设备安装要求

       3.1  进厂火灾自动报警设备应根据设计图纸的要求,对型号、数量、规格、品种、外观等进行检查,并提供给国家消防电子产品,质量监督检测中心有效的检测检验合格的报告,及其它有关安装接线要求的资料,同时与提供设备的单位办理进厂设备检查手续。

       3.2  点型火灾探测器、气体火灾探测器、红外光束火灾探测器的安装要求:

       1)  感烟感温探测器的保护面积和保护半径应符合要求。



       2)  感烟感温探测器的安装间距不应超过上图中的极限曲线D1-D11 (含 D9′)所规定的范围,并由探测器的保护面积A和保护半径R确定探测器的安装间距的极限曲线。

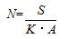
       3)  一个探测器区内需设置的探测器数量应按下式计算:


       4)  在顶棚匕设置感烟、感温探测器时,梁的高度对探测器安装数量影响。

       a  梁突出顶棚高度小于200毫米的顶棚上设置感烟、感温探测器时,可不考虑对探测器保护面积的影响。

       b  当梁突出顶棚的高度在200毫米~600毫米时,应按相关规范去确定梁的影响和一只探测器能保护的梁间区域的个数。

       c  当梁突出顶棚的高度超过600毫米,被梁隔断的每个梁间区域应至少设置一只探测器。

       d  当被梁隔断区域面积超过一只探测器的保护面积时,应视为一个探测区域,计算探测器的设置数量。

       5)  当房屋顶部有热屏障时,感烟探测器下表面至顶棚距离应符合相关规定。锯齿型屋顶和坡度大于15°的人字型屋顶,应在每个屋脊处设置一排探测器,探测器下表面距屋顶最高处的距离应符合相关规定。

       6)  探测器宜水平安装,如必须倾斜安装时,倾斜角不应大于45°。

       7)  房间被书架、设备或隔断等分隔,其顶部至顶棚或梁的距离小于房间净高的5%时,则每个被隔开的部分应设置探测器。



       8)  探测器周围0.5米内,不应有遮挡物,探测器至墙壁、梁边的水平距离,不应小于0.5米。

       9)  探测器至空调送风口边的水平距离不应小于1.5米,至多孔送风顶棚孔口的水平距离不应小于0.5米。(是指在距离探测器中心半径为0.5米范围内的孔洞用非燃烧材料填实,或采取类似的挡风措施)。

       10)  在宽度小于3米的走道顶棚上设置探测器时,宜从中布置。感温探测器的安装间距不应超过10米,感烟探测器安装间距不应超过15米,探测器至端墙的距离,不应大于探测器安装间距的一半。

       11)  在电梯井、升降机井设置探测器时其位置宜在井道上方的机房顶棚上。

       12)  下列场所可不设火灾探测器:

       a  厕所、浴室等潮湿场所

       b  不能有效探测火灾的场所

       c  不便于使用、维修的场所(重点部位除外)

       13)  可燃气体探测器应安装在气体容易泄漏出来,气体容易流经的场所,及容易滞留的场所,安装位置应根据被测气体的密度、安装现场气流方向、温度等各种条件来确定。

       a  密度大、比空气重的气体,如液化石油气应安装在下部,一般距地0.3米。且距气灶小于4毫米的适当位置。

       b  人工煤气密度小且比空气轻,可燃气体探测器应安装在上方,距气灶小于8米的排气口旁处的顶棚上。

       c  其它种类可燃气体,可按厂家提供的并经国家检测合格的产品技术条件来确定其探测器的安装位置。

       14)  红外光束探测器的安装位置,应保证有充足的视场,发出的光束应与顶棚保持平行,远离强磁场,避免阳光直射,底座应牢固地安装在墙上。

       15)  其它类型的火灾探测器的安装要求,应按设计和厂家提供的技术资料进行安装。

       16)  探测器的底座应固定可靠,在吊顶上安装时应先把盒子固定在主龙骨上或在顶棚上生根作支架,其连接导线必须可靠压接或焊接,当采用焊接时不得使用带腐蚀性的助焊剂,外接导线应有0.15米的余量,入端处应有明显标志。

       17)  探测器确认灯应面向便于人员观察的主要入口方向。

       18)  探测器底座的穿线孔宜封堵,安装时应采取保护措施(如装上防护罩)。

       19)  探测器的接线应按设计和厂家要求接线,但“+”线应为红色,“-”线应为兰色,其余线根据不同用途采用其它颜色区分,但同一工程中相同的导线颜色应一致。

       20)  探测器的头在即将调试时方可安装,安装前应妥善保管,并应采取防尘、防潮、防腐蚀等措施。

       3.3  手动火灾报警按钮的安装

       ①  报警区内的每个防火分区应至少设置一只手动报警按扭,从一个防火分区内的任何位置到最近一个手动火灾报警按扭的步行距离不应大于30米。

       ②  手动火灾报警按钮应安装在明显和便于操作的墙上,距地高度1.5米,安装牢固并不应倾斜。

       ③  手动火灾报警按钮外接导线应留有0.10米的余量,且在端部应有明显标志。

       3.4  端子箱和模块箱安装

       ①  端子箱和模块箱一般设置在专用的竖井内,应根据设计要求的高度用金属膨胀螺栓固定在墙壁上明装,且安装时应端正牢固,不得倾斜。

       ②  用对线器进行对线编号,然后将导线留有一定的余量,把控制中心来的干线和火灾报警器及其它的控制线路分别绑扎成束,分别设在端子板两侧,左边为控制中心引来的干线,右侧为火灾报警探测器和其它设备来的控制线路。

       ③  压线前应对导线的绝缘进行摇测,合格后再按设计和厂家要求压线。

       ④  模块箱内的模块按厂家和设计要求安装配线,合理布置,且安装应牢固端正,并有用途标志和线号。

       3.5  火灾报警控制器安装

       ①  火灾报警控制器(以下简称控制器)接收火灾探测器和火灾报警按钮的火灾信号及其它报警信号,发出声、光报警,指示火灾发生的部位,按照预先编制的逻辑,发出控制信号,联动各种灭火控制设备,迅速有效的扑灭火灾。为保证设备的功能必须做到精心施工,确保安装质量。火灾报警器一般应设置在消防中心、消防值班室、警卫室及其它规定有人值班的房间或场所。控制器的显示操作面板应避开阳光直射,房间内无高温、高湿、尘土、腐蚀性气体;不受振动、冲击等影响。

       ②  设备安装前土建工作应具备下列条件:

       a  屋顶、楼板施工已完毕,不得有渗漏。

       b  结束室内地面、门窗、吊顶等安装。

       c  有损设备安装的装饰工作全部结束。

       ③  区域报警控制器在墙上安装时,其底边距地面高度不应小于1.5米,可用金属膨胀螺栓或埋注螺栓进行安装,固定要牢固、端正,安装在轻质墙上时应采取加固措施。靠近门轴的侧面距离不应小于0.5米,正面操作距离不应小于1.2米。

       ④  集中报警控制室或消防控制中心设备安装应符合下列要求:

       a  落地安装时,其底宜高出地面0.05~0.2米,一般用槽钢或打水台作为基础,如有活动地板时使用的槽钢基础应在水泥地面生根固定牢固。槽钢要先调直除锈,并刷防锈漆,安装时用水平尺、小线找好平直度,然后用螺栓固定牢固。

       b  控制柜按设计要求进行排列,根据柜的固定孔距在基础槽钢上钻孔,安装时从一端开始逐台就位,用螺丝固定,用小线找平找直后再将各螺栓紧固。

       c  控制设备前操作距离,单列布置时不应小于1.5米,双列布置时不应小于2米,在有人值班经常工作的一面,控制盘到墙的距离不应小于3米,盘后维修距离不应小于1米,控制盘排列长度大于4米时,控制盘两端应设置宽度不小于1米的通道。

       d  区域控制室安装落地控制盘时,参照上述的有关要求安装施工。

       ⑤  引入火灾报警控制器的电缆、导线接地等应符合下列要求:

       a  对引入的电缆或导线,首先应用对线器进行校线。按图纸要求编号,然后摇测相间、对地等绝缘电阻,不应小于20MΩ,全部合格后按不同电压等级、用途、电流类别分别绑扎成束引到端子板,按接线图进行压线,注意每个接线端子接线不应超过二根,盘圈应按顺时针方向,多股线应涮锡,导线应有适当余量,标志编号应正确且与图纸一致,字迹清晰,不易褪色,配线应整齐,避免交叉,固定牢固。

       b  导线引入线完成后,在进线管处应封堵,控制器主电源引入线应直接与消防电源连接,严禁使用接头连接,主电源应有明显标志。

       c  凡引入有交流供电的消防控制设备,外壳及基础应可靠接地,一般应压接在电源线的PE线上。

       d  消防控制室一般应根据设计要求设置专用接地装置作为工作接地(是指消防控制设备信号地域逻辑地)。当采用独立工作接地时电阻应小于4Ω,当采用联合接地时,接地电阻应小于1Ω,控制室引至接地体的接地干线应采用一根不小于16平方毫米的绝缘铜线或独芯电缆,穿入保护管后,两端分别压接在控制设备工作接地板和室外接地体上。消防控制室的工作接地板引至各消防控制设备和火灾报警控制器的工作接地线应采用不小于4平方毫米铜芯绝缘线穿入保护管构成一个零电位的接地网络,以保证火灾报警设备的工作稳定可靠。接地装置施工过程中,分不同阶段应作电气接地装置隐检,接地电阻摇测,平面示意图等质量检查记录。

       ⑥  其它火灾报警设备和联动设备安装,按有关规范和设计厂家要求进行安装接线。

       4 - 调试要求

       4.1  火灾自动报警系统调试,应在建筑内部装修和系统施工结束后进行。

       4.2  调试前施工人员应向调试人员提交竣工图、设计变更记录、施工记录(包括隐蔽工程验收记录),检验记录(包括绝缘电阻、接地电阻测试记录)、竣工报告。

       4.3  调试负责人必须由有资格的专业技术人员担任。一般由生产厂工程师或生产厂委托的经过训练的人员担任。其资格审查由公安消防监督机构负责。

       4.4  调试前应按下列要求进行检查:

       ①  按设计要求查验,设备规格、型号、备品、备件等。

       ②  按火灾自动报警系统施工及验收规范的要求检查系统的施工质量。对属于施工中出现的问题,应会同有关单位协商解决,并有文字记录。

       ③  检查检验系统线路的配线、接线、线路电阻、绝缘电阻,接地电阻、终端电阻、线号、接地、线的颜色等是否符合设计和规范要求,发现错线、开路、短路等达不到要求的应及时处理,排除故障。

       4.5  火灾报警系统应先分别对探测器、消防控制设备等逐个进行单机通电检查试验。单机检查试验合格,进行系统调试,报警控制器通电接入系统做火灾报警自检功能、消音、复位功能、故障报警功能、火灾优先功能、报警记忆功能、电源自动转换和备用电源的自动充电功能、备用电源的欠压和过压报警功能等功能检查。在通电检查中上述所有功能都必须符合条例《GB4717火灾报警控制器通用技术条件》的要求。

       4.6  按设计要求分别用主电源和备用电源供电,逐个逐项检查试验火灾报警系统的各种控制功能和联动功能,其控制功能和联动功能应正常。

       4.7  检查主电源:火灾自动报警系统的主电源和备用电源,其容量应符合有关国家标准要求,备用电源连续充放电三次应正常,主电源、备用电源转换应正常。

       4.8  系统控制功能调试后应用专用的加烟加温等试验器,应分别对各类探测器逐个试验,动作无误后可投入运行。

       4.9  对于其它报警设备也要逐个试验无误后投入运行。

       4.10  按系统调试程序进行系统功能自检。系统调试完全正常后,应连续无故障运行120小时,写出调试开通报告,进行验收工作。

       5 - 系统验收程序

       5.1  火灾报警系统安装调试完成后,由施工单位、调试单位对工程质量、调试质量、施工资料进行预检,同时进行质量评定,发现质量问题应及时解决处理,直至达到符合设计和规范要求为止。

       5.2  预检全部合格后,施工单位、调试单位应请建设单位、设计、监理等单位,对工程进行竣工验收检查,无误后办理竣工验收单。

       5.3  建设单位或施工单位请建筑消防设施技术检测单位进行检测,由该单位提交检测报告。

       5.4  以上工作全部完成后,由建设单位向公安消防监督机构提交验收申请报告,并提供下列文件和资料:

       ①  建设过程中消防部门的消防审核文件、备忘录及其落实情况。

       ②  施工单位、设备厂家的资质证书和产品的检测证书。

       ③  施工记录(隐蔽工程验收、设计变更洽商、绝缘摇测记录、接地电阻记录、主要材质证明、合格证等。

       ④  调试报告。

       ⑤  建设单位组织施工单位、设计单位、监理等单位办理的竣工验收单。

       ⑥  检测单位提出的检测报告。

       ⑦  系统竣工图、系统竣工表。

       ⑧  管理、维护人员登记表。

       5.5  消防工程经公安消防监督机构对施工质量复验和对消防设备功能抽验,全部合格后,发给建设单位《建筑工程消防设施验收合格证书》,建设单位可投入使用,进入系统的运行阶段。

       各位安装火灾自动报警系统时,一定要按照以上工艺及流程去做,避免安装出错。安装完之后最重要的就是调试和验收了,这过程一定要仔细和谨慎,千万不要遗漏掉什么问题,避免验收不通过。

       合景消防是东莞本土优秀的消防工程安装公司,具有多年消防工程安装经验和消防设施工程专业承包贰级资质以及安全生产许可证,公司可承接厂房、酒店、写字楼等各类公共场所的消防安装工程以及机电安装和装修装饰服务,公司已服务上百家企业客户,口碑良好,联系电话:400-602-0222/18665110000

上一篇:消防设备施工存在的质量通病及对策

下一篇:自动喷水灭火系统施工工艺及流程